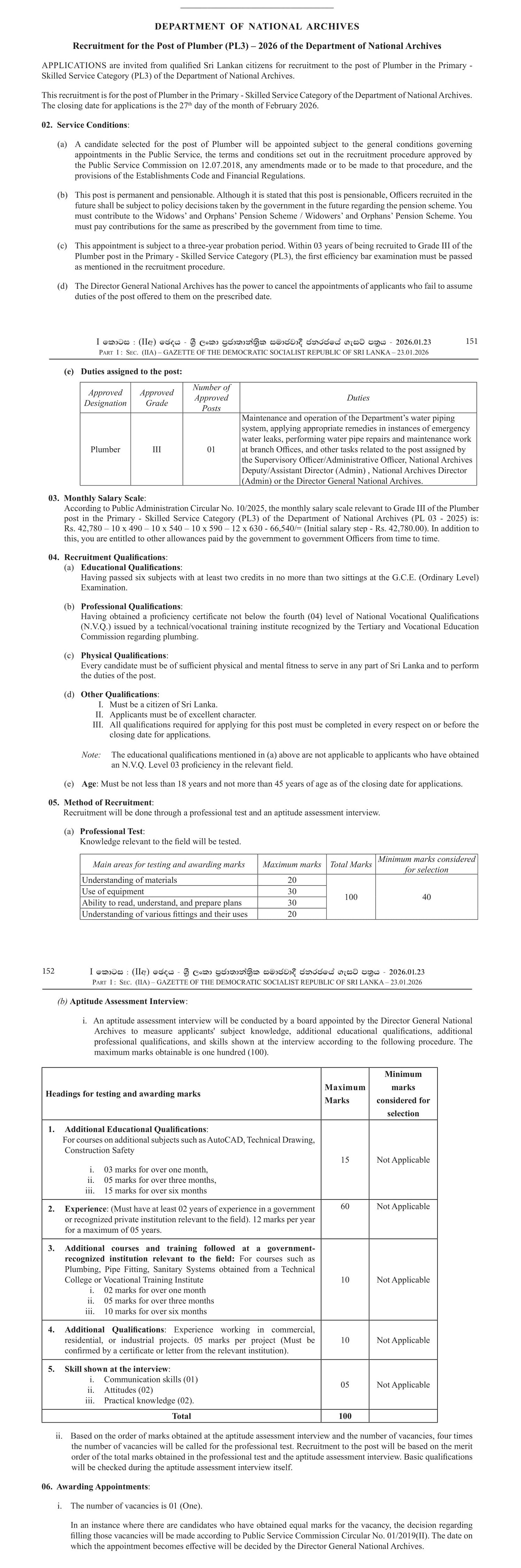
Plumber - Department of National Archives Plumber - Department of National Archives Plumber - Department of National Archives Plumber - Department of National Archives Plumber - Department of National Archives Plumber - Department of National Archives

Source: Government Gazette (2026.01.23)