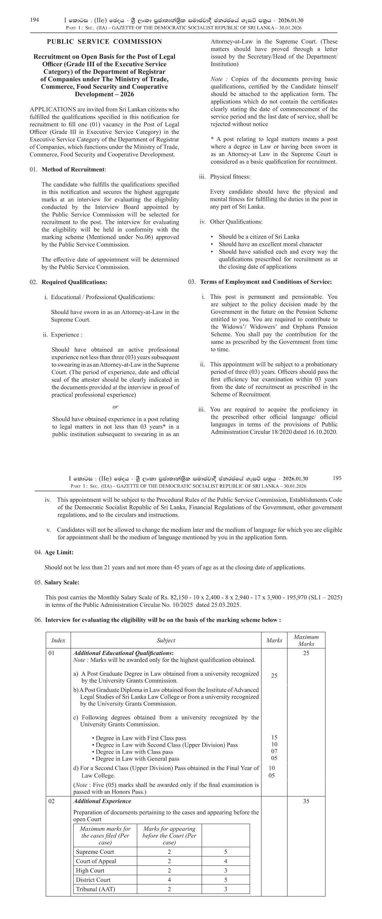
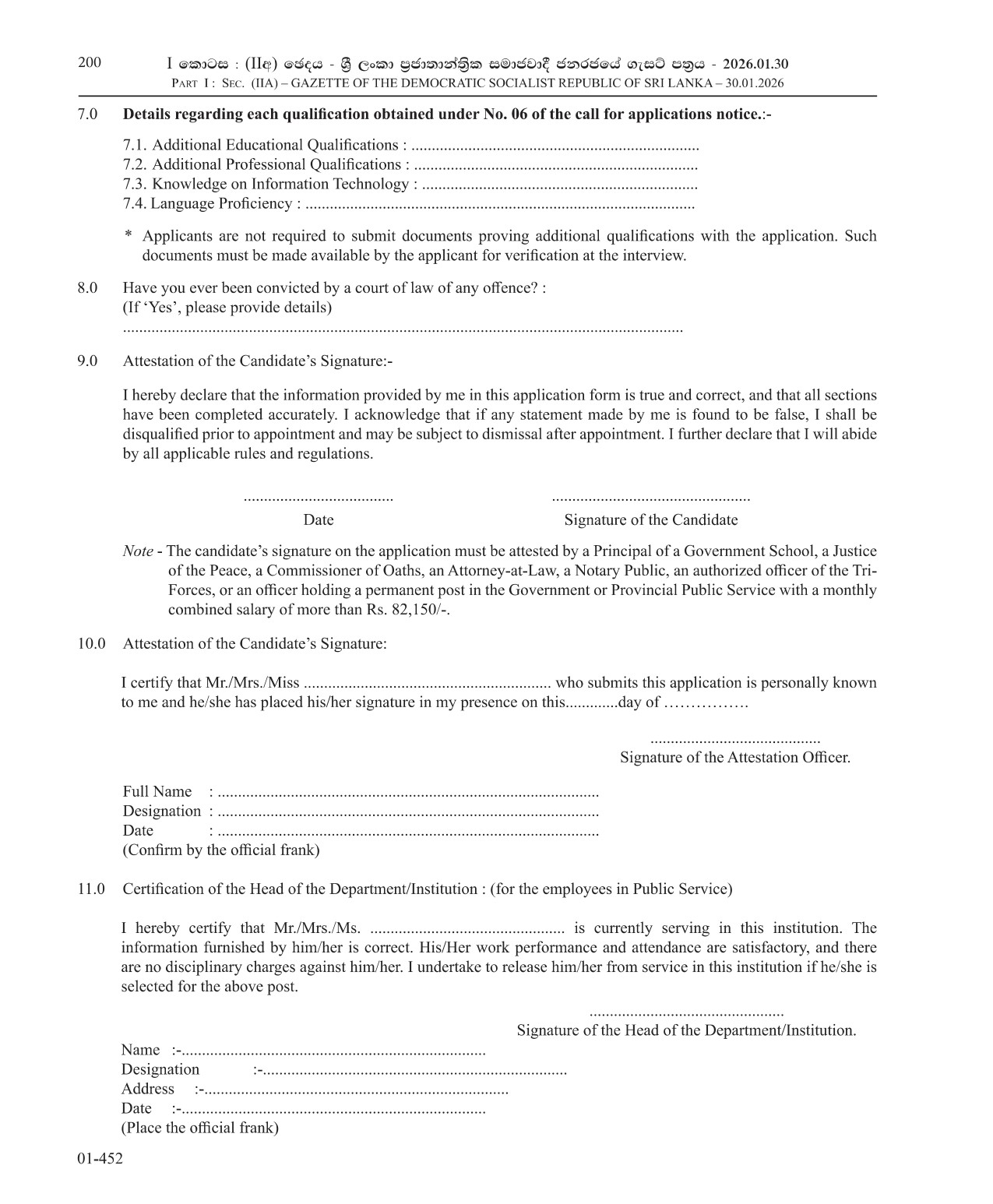
Legal Officer - Department of Registrar of Companies Legal Officer - Department of Registrar of Companies Legal Officer - Department of Registrar of Companies Legal Officer - Department of Registrar of Companies Legal Officer - Department of Registrar of Companies Legal Officer - Department of Registrar of Companies

Source: Government Gazette (2026.01.30)