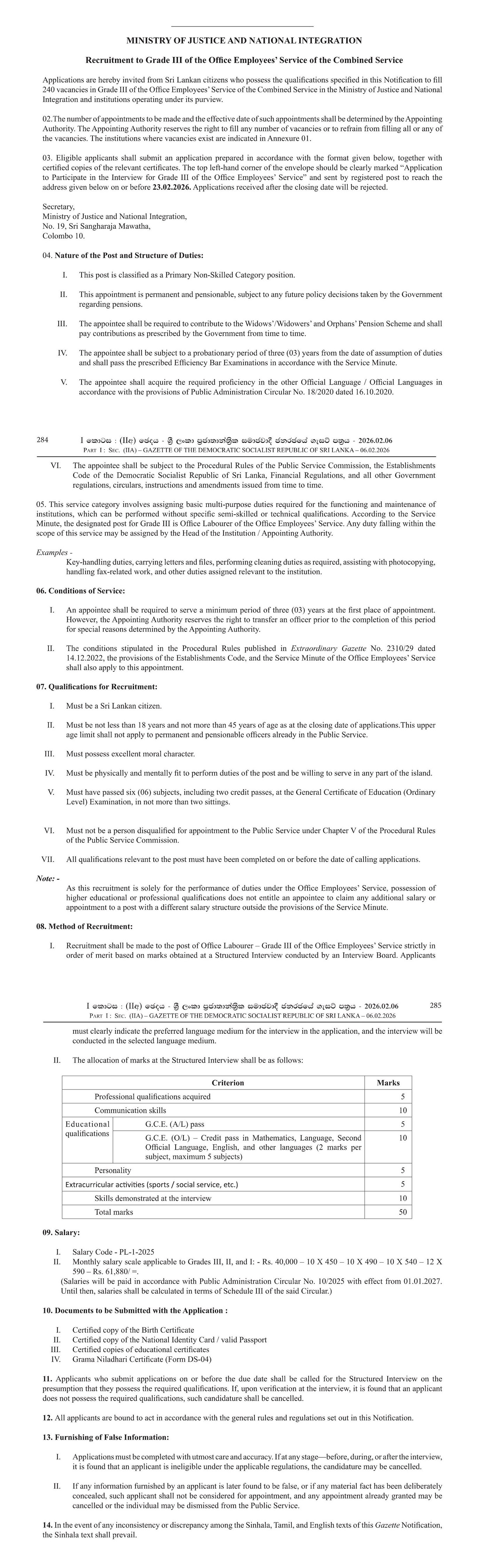
Recruitment to Grade 3 of the Office Employees’ Service of the Combined Service - Ministry of Justice & National Integration Recruitment to Grade 3 of the Office Employees’ Service of the Combined Service - Ministry of Justice & National Integration Recruitment to Grade 3 of the Office Employees’ Service of the Combined Service - Ministry of Justice & National Integration Recruitment to Grade 3 of the Office Employees’ Service of the Combined Service - Ministry of Justice & National Integration Recruitment to Grade 3 of the Office Employees’ Service of the Combined Service - Ministry of Justice & National Integration

Source: Government Gazette (2026.02.06)